SCORRIGES
Accueil
Contacts
Rechercher
ENSEIGNEMENT SECONDAIRE
EXERCICES
Cycle d'observation
5ème
,
6ème
Cycle d'orientation
3ème
,
4ème
Enseignement général
Série litteraire
,
Série scientifique
Examens
BAC
,
BEPC
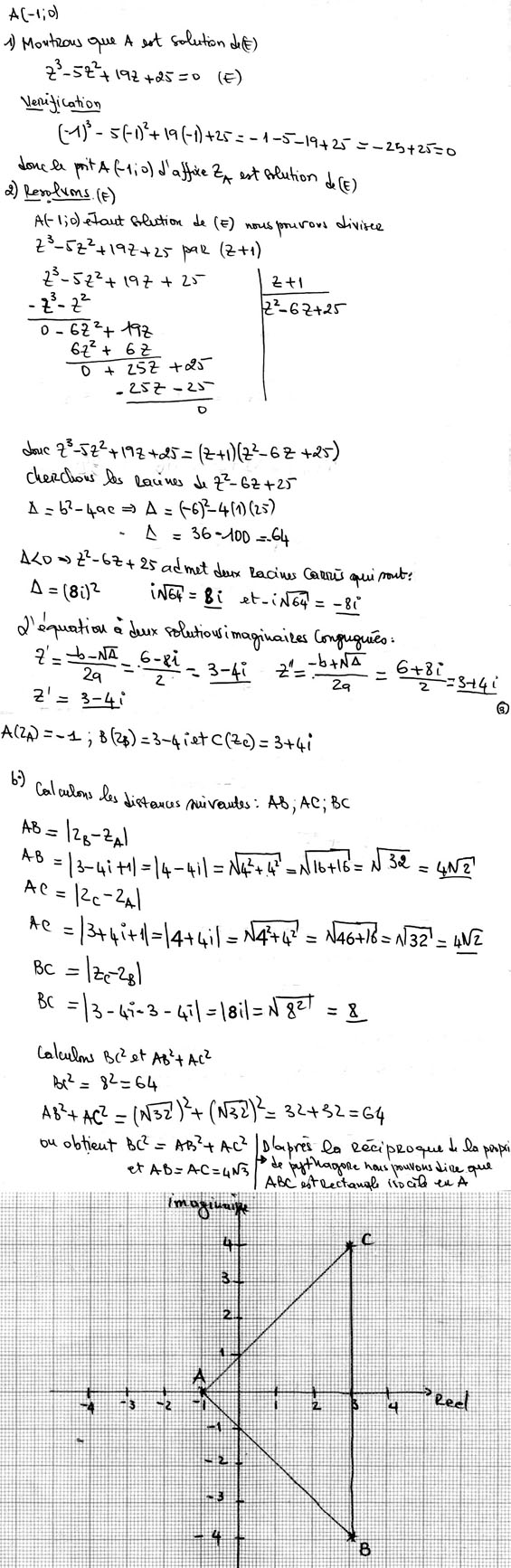
Répère de points et nombre complexe
Classes :
Tle
Envoyer à un ami
Dans le plan complexe, résoudre une équation de nombre complexe, placer des points et démontrer qu'un triangle est isocèle et rectangle.
Correction
Cacher le corrigé