SCORRIGES
Accueil
Contacts
Rechercher
ENSEIGNEMENT SECONDAIRE
EXERCICES
Cycle d'observation
5ème
,
6ème
Cycle d'orientation
3ème
,
4ème
Enseignement général
Série litteraire
,
Série scientifique
Examens
BAC
,
BEPC
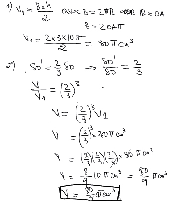
Volume d'un cône et de son tronc
Classes :
3ème
Envoyer à un ami
Calculez les volumes d'un cône et de son tronc à partir des mesures de ses côtés et des angles fournis
Correction
Cacher le corrigé