SCORRIGES
Accueil
Contacts
Rechercher
ENSEIGNEMENT SECONDAIRE
EXERCICES
Cycle d'observation
5ème
,
6ème
Cycle d'orientation
3ème
,
4ème
Enseignement général
Série litteraire
,
Série scientifique
Examens
BAC
,
BEPC
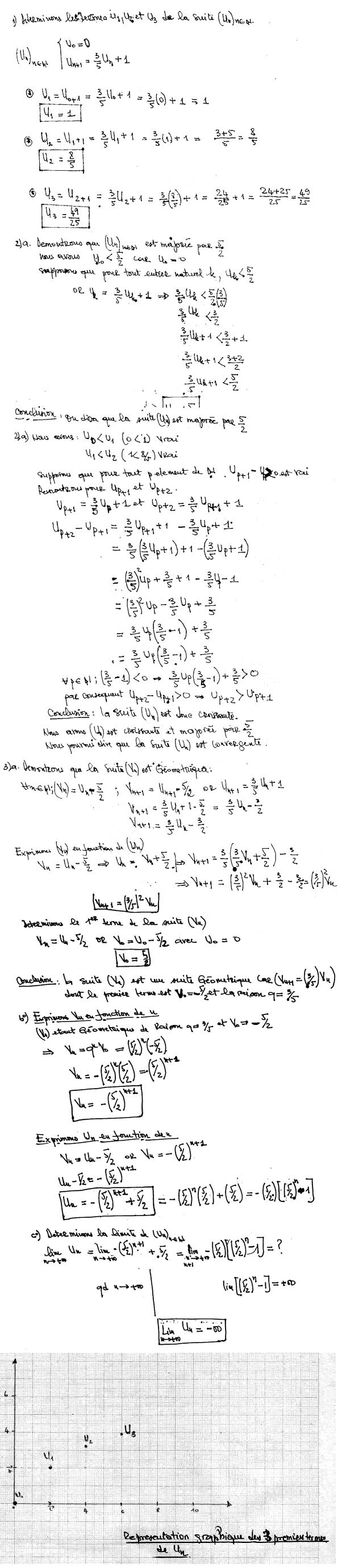
Suite géométrique, démonstration par récurrence, raison
Classes :
Tle
Examens :
BAC D 2009 Côte d'Ivoire Session 1
Envoyer à un ami
Correction
Cacher le corrigé