SCORRIGES
Accueil
Contacts
Rechercher
ENSEIGNEMENT SECONDAIRE
EXERCICES
Cycle d'observation
5ème
,
6ème
Cycle d'orientation
3ème
,
4ème
Enseignement général
Série litteraire
,
Série scientifique
Examens
BAC
,
BEPC
Condition d'existance et valeur numérique
Classes :
3ème
Envoyer à un ami
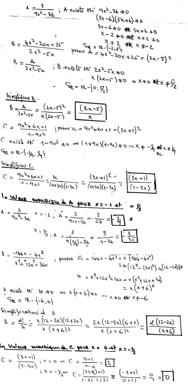
Trouvez la condition d'existance d'une valeur numérique pour chaque fraction rationnelle. Ensuite, simplifiez - les. Calculez par la suite les valeurs numériques pour certaines valeurs de l'inconnue X.
Correction
Cacher le corrigé