SCORRIGES
Accueil
Contacts
Rechercher
ENSEIGNEMENT SECONDAIRE
EXERCICES
Cycle d'observation
5ème
,
6ème
Cycle d'orientation
3ème
,
4ème
Enseignement général
Série litteraire
,
Série scientifique
Examens
BAC
,
BEPC
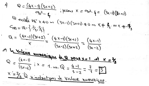
Condition d'existance et valeur numérique de Q
Classes :
3ème
Envoyer à un ami
Q est une fraction rationnelle. Trouvez sa condition d'existance puis simplifiez la. Une fois que vous avez terminé, déduisez la valeur numérique de Q pour X =1 et X = - 2 / 3.
Correction
Cacher le corrigé