SCORRIGES
Accueil
Contacts
Rechercher
ENSEIGNEMENT SECONDAIRE
EXERCICES
Cycle d'observation
5ème
,
6ème
Cycle d'orientation
3ème
,
4ème
Enseignement général
Série litteraire
,
Série scientifique
Examens
BAC
,
BEPC
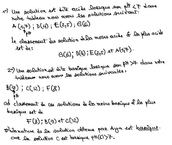
pH de solutions aqueuses
Classes :
3ème
Examens :
BEPC 2009 Côte d'Ivoire Zone 1
Envoyer à un ami
Correction
Cacher le corrigé