SCORRIGES
Accueil
Contacts
Rechercher
ENSEIGNEMENT SECONDAIRE
EXERCICES
Cycle d'observation
5ème
,
6ème
Cycle d'orientation
3ème
,
4ème
Enseignement général
Série litteraire
,
Série scientifique
Examens
BAC
,
BEPC
Expression littérale et fraction rationnelle
Classes :
3ème
Envoyer à un ami
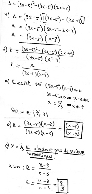
D'abord, vous devez factoriser une expression littérale. Ensuite, vous utiliserez cette expression comme le dénominateur d'une fraction rationnelle, qu'il faudra déterminer la condition d'existance, simplifier et déterminer des valeurs numériques.
Correction
Cacher le corrigé