SCORRIGES
Accueil
Contacts
Rechercher
ENSEIGNEMENT SECONDAIRE
EXERCICES
Cycle d'observation
5ème
,
6ème
Cycle d'orientation
3ème
,
4ème
Enseignement général
Série litteraire
,
Série scientifique
Examens
BAC
,
BEPC
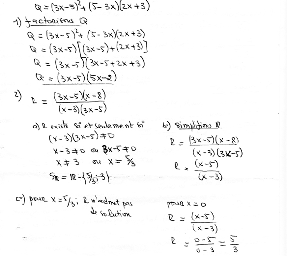
Expression littérale et fraction rationnelle
Classes :
3ème
Envoyer à un ami
On donne une expression littérale, dénominateur d'une fraction, à factoriser. Puis, trouver la condition d'existance de la fraction. Simplifier cette fraction et calculer la valeur numérique pour X = 5 / 3.
Correction
Cacher le corrigé