SCORRIGES
Accueil
Contacts
Rechercher
ENSEIGNEMENT SECONDAIRE
EXERCICES
Cycle d'observation
5ème
,
6ème
Cycle d'orientation
3ème
,
4ème
Enseignement général
Série litteraire
,
Série scientifique
Examens
BAC
,
BEPC
Equation de nombre complexe
Classes :
Tle
Envoyer à un ami
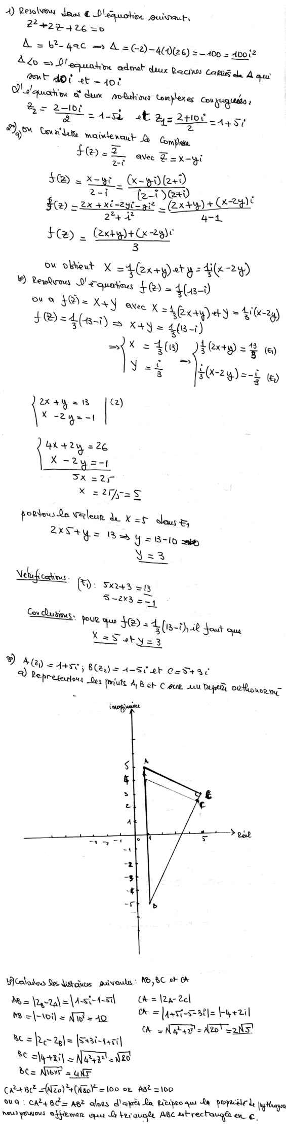
Résoudre des équations de nombre nomplexe, déterminer les parties imaginaire et réelle d'un nombre complexe et démontrez qu'un triangle est rectangle.
Correction
Cacher le corrigé