SCORRIGES
Accueil
Contacts
Rechercher
ENSEIGNEMENT SECONDAIRE
EXERCICES
Cycle d'observation
5ème
,
6ème
Cycle d'orientation
3ème
,
4ème
Enseignement général
Série litteraire
,
Série scientifique
Examens
BAC
,
BEPC
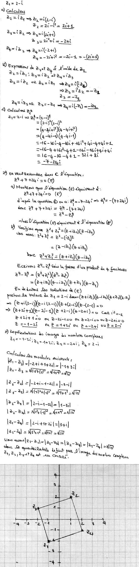
Produits de nombres complexes, équation et carré
Classes :
Tle
Envoyer à un ami
Calculez des nombres complexes à partir d'un autre nombre complexe, résolvez des équation, placez des points sur un plan complexe et démontrez ces points forment un carré.
Correction
Cacher le corrigé