SCORRIGES
Accueil
Contacts
Rechercher
ENSEIGNEMENT SECONDAIRE
EXERCICES
Cycle d'observation
5ème
,
6ème
Cycle d'orientation
3ème
,
4ème
Enseignement général
Série litteraire
,
Série scientifique
Examens
BAC
,
BEPC
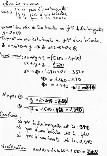
Equation des baguettes, brioches et de la tarte
Classes :
3ème
Envoyer à un ami
Déterminez à l'aide d'un système d'équations le prix des baguettes, des brioches et de la tarte achetées par Maimouna
Correction
Cacher le corrigé