SCORRIGES
Accueil
Contacts
Rechercher
ENSEIGNEMENT SECONDAIRE
EXERCICES
Cycle d'observation
5ème
,
6ème
Cycle d'orientation
3ème
,
4ème
Enseignement général
Série litteraire
,
Série scientifique
Examens
BAC
,
BEPC
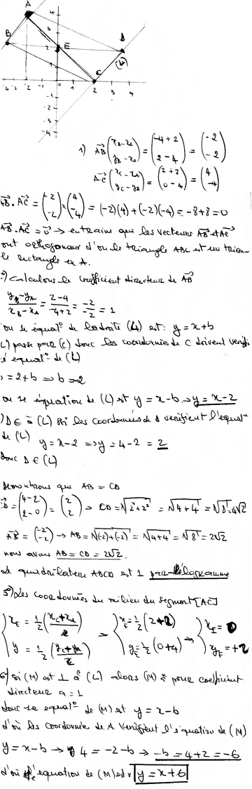
Problème : nature de figures par coordonnées de point
Classes :
3ème
Envoyer à un ami
Ce problème utilise des points placés dans un répère (O,I,J) pour démontrer des vecteurs orthogonaux, la nature de triangle et de quadrilatère et déduire une équation de droite.
Correction
Cacher le corrigé