SCORRIGES
Accueil
Contacts
Rechercher
ENSEIGNEMENT SECONDAIRE
EXERCICES
Cycle d'observation
5ème
,
6ème
Cycle d'orientation
3ème
,
4ème
Enseignement général
Série litteraire
,
Série scientifique
Examens
BAC
,
BEPC
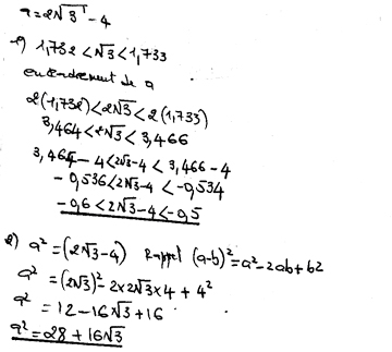
Encadrement d'un nombre réel avec racine
Classes :
3ème
Envoyer à un ami
Donnez un encadrement d'un nombre réel avec racine d'ordre 1, calculez ce nombre élévé au carré.
Correction
Cacher le corrigé